Categoría: Internet
PDFs
La gestión del conocimiento en medicina: a la búsqueda de la información perdida (2002)
parte de Bravo R.La gestión del conocimiento en Medicina: a la búsqueda de la información perdida.ANALES Sis San Navarra 2002; 25 (3):255-272 DOI: https://doi.org/10.23938/ASSN.0802
UN EJEMPLO Y UNA CONCLUSIÓN APRESURADA
El Dr. Beltrán, médico de familia del centro de salud “Conocimiento integrado”, se dispone a comenzar su jornada de trabajo; mientras enciende su ordenador, dirige su mirada a su vacía mesa de trabajo, que solo alberga un teclado inalámbrico de reducidas proporciones y un ratón aún más pequeño. Una vez que la pantalla empieza a parpadear, recibe el aviso de que tiene nuevos mensajes de correo electrónico en su buzón.
El primero de ellos es de la gerencia de su área, que le informa de los cambios de horarios en las consultas de especialistas a los que suele derivar a sus pacientes; le echa un vistazo rápido y no le presta mayor atención, sabedor de que esta información está actualizada en la página web de la intranet de su institución junto a otra información útil, como los tiempos de espera para conseguir cita y los teléfonos y correos electrónicos de los especialistas con los que suele mantener una fluida relación.
El segundo mensaje es de su bibliotecario; como todos los lunes, le informa de los artículos de interés clínico que se han publicado en la semana anterior en las revistas más importantes de su especialidad. El conciso resumen le permite leerlo rápidamente, y sabe que en caso de que uno de los artículos le interese, puede acceder a un resumen más amplio o incluso al texto completo con solo apretar un botón. Está contento con este servicio y más con la última novedad: la unidad de epidemiología clínica del hospital ofrece evaluaciones críticas resumidas de los artículos más importantes y de aquellos que son solicitados por un número suficiente de clínicos. Le encanta porque, aunque es consciente de su importancia, a estos aspectos metodológicos siempre le sonaron un poco a chino.
El tercer mensaje es del laboratorio; le informa del resultado del hemograma y la prueba de Paul-Bunnell en un joven con adenopatías que el Dr. Beltrán vio el día anterior. Normalmente, los resultados se envían directamente por la red y se integran en el historial de cada paciente, pero en este caso el Dr. Beltran había indicado que además se lo comunicaran directamente. Estaba preocupado; el chaval llevaba más de veinte días con adenopatías de gran tamaño, no tenía fiebre ni faringitis, y el pensamiento de una enfermedad más grave había pasado por su cabeza mientras lo auscultaba. Estuvo tentado de pedir una batería de pruebas complementarias, pero tras escribir los síntomas y signos del muchacho y apretar el botón de ayuda diagnóstica, su ordenador le sugirió que lo hiciera de forma escalonada, comenzando con un hemograma simple y serología para el virus de Epstein Barr. Esta recomendación se apoyaba en un texto sacado de una de sus fuentes favoritas de información y se complementaba con enlaces a artículos de revisión clínica sobre el tema. En la misma pantalla aparecía el número de casos que se habían diagnosticado en su área sanitaria, incluyendo las características clínicas porcentuales de estos casos. En ese momento fue cuando pensó que merecía la pena el trabajo de codificar cada actuación que llevaba a cabo en su consulta. Tras leer el mensaje, se dispuso a escribir un correo electrónico a la madre del joven, donde le relataba los resultados del análisis, le tranquilizaba sobre el problema y le adjuntaba un archivo con información para pacientes sobre la mononucleosis infecciosa, citándole para revisión días más tarde.
Ya habían pasado unos diez minutos y el primer paciente del Dr. Beltrán esperaba en la puerta; era un diabético conocido, que minutos antes aguantaba pacientemente el interrogatorio al que la enfermera le estaba sometiendo como parte de su revisión semestral. Con un cuestionario estructurado de preguntas y actuaciones, la enfermera realizaba su trabajo de forma amable pero rigurosa; sabía que el paciente no estaba cumpliendo con el tratamiento prescrito, al menos no recogía las recetas suficientes para cumplirlo como estaba establecido; además, el peso no bajaba. La enfermera del Dr. Beltrán decidió repasar qué actuaciones podría llevar a cabo para solventar este problema; para ello no tenía más que buscar en la base de datos de efectividad clínica en enfermería que estaba disponible en Internet. Aunque llevaba algo de tiempo, no le importaba, ya que el paciente debía ver también al doctor. El programa le había indicado la necesidad de una derivación al médico cuando se recogieron cifras tensiónales por encima de las esperadas en un paciente diabético en dos ocasiones consecutivas.
Para el Dr. Beltrán no está claro si tenía que iniciar tratamiento y qué tratamiento es el más indicado, por lo que decide consultar las guías automatizadas sobre hipertensión. No dispone de mucho tiempo y por eso aprecia el mensaje breve y rotundo que le aparece en su pantalla: “Todos los diabéticos con cifras tensiónales por encima de …/… deben ser controlados. El tratamiento recomendado es un IECA. Nivel de evidencia II”. Una vez que observa la información de las posibles interacciones con la medicación actual, alergias o efectos indeseables previos y cuál de las alternativas entre las diferentes marcas y tipos de IECAs es más costo efectiva. El Dr. Beltrán extiende la receta que lleva incorporada información específica sobre la administración del medicamento, despide a su paciente y piensa que hoy será un largo día……………….
Conclusión
Para finalizar y parafraseando a Wyatt * podemos decir que el futuro de la gestión del conocimiento en sanidad es brillante. Tenemos ya la tecnología adecuada en forma de Internet, y un armazón intelectual de la mano de la atención sanitaria basada en la evidencia. También disponemos de profesionales de la gestión del conocimiento y las herramientas informáticas que ayudan a manejar el conocimiento explícito se han desarrollado y refinado. Solo nos falta un poco de entusiasmo imaginativo y un presupuesto suficiente, esperemos que nuestros gestores, si no nos pueden dar algo de lo primero, al menos aporten una parte de lo segundo.
* Wyatt JC. Management of explicit and tacit knowledge. J R Soc Med. 2001 Jan;94(1):6-9.
Telemedicina en AP: ni estuvo, ni está, ni se le espera.
Una de las mentes más lúcidas de la atención primaria española me contó hace tiempo que, tras un cambio en la organización de las consultas en su centro de salud, se encontraron con un resultado inesperado: las salas de espera permanecían vacías la mayor parte del tiempo. Ese vacío, lejos de interpretarse como eficiencia, generaba malestar en algunos pacientes, acostumbrados a salas repletas, que veían la ausencia de gente como un signo de incompetencia o de poco trabajo por parte de los profesionales. Para corregir esa percepción, decidieron entregar, junto con la cita, un número de orden en el que además se indicaba cuántos pacientes habían sido atendidos en cada consulta.
Con frecuencia se leen quejas similares en redes sociales: “Una semana esperando para que me vean y cuando llego, el centro está vacío”. No sorprende esta reacción. Durante la pandemia, una gerente de atención primaria, poco competente, llegó a afirmar que el verdadero trabajo se hacía en los hospitales, porque cuando visitaba los centros de salud veía las salas vacías.
La repuesta es casi comprensible, salvo en el caso de la gerente. Si alguien ha crecido viendo al maquinista echar carbón a la locomotora de un tren de vapor, cuando el tren pasa a ser eléctrico y deja de verlo, tiende a pensar que el maquinista ya no hace nada.
Hace unos días El Confidencial publicó una noticia con un título alarmante ilustrada con la fotografía de una sala de espera vacía y, al fondo, un médico frente al ordenador. El texto sostenía que las “teleconsultas” médicas, presentadas durante la pandemia como el gran salto hacia la medicina del futuro, han terminado ocupando un papel muy limitado en los centros de salud españoles. Según la noticia, estas apenas suponen alrededor de un 15% de la jornada de los médicos de familia y se usan casi siempre para tareas administrativas: renovar recetas, resolver dudas sencillas o gestionar algunas bajas laborales por teléfono.
Se proponen varias explicaciones para esta infrautilización, pero, a mi juicio, el problema no es la tecnología, ni que los pacientes prefieran siempre la consulta presencial, ni que la telemedicina tenga poca capacidad resolutiva, ni siquiera la falta de protocolos o de planificación. Las causas de que la telemedicina no se use, o se use de forma poco adecuada tras el impulso inicial de la pandemia, tienen mucho más que ver con la organización piramidal, jerárquica y poco inteligente de la atención primaria. Con una gerencia sin iniciativa, que por un lado demuestra escasa capacidad organizativa y, por otro, interviene hasta el detalle en las agendas de los médicos, fragmentándolas en tramos de diez minutos. A ello se suma un grupo de profesionales acomodados y temerosos de ofrecer una mayor accesibilidad a los pacientes.
En la noticia se mezclan cosas distintas: la simple llamada telefónica para resolver gestiones puntuales o burocráticas, que muchos centros de salud autoorganizados ya utilizaban, con auténticas consultas telefónicas y videoconsultas. Incluso el representante médico entrevistado añadía al mismo saco las interconsultas entre especialistas y la monitorización a distancia, contribuyendo al batiburrillo conceptual.
La telemedicina, en todas sus variantes, mostró durante la pandemia su enorme potencial tanto asistencial como organizativo, y distintas experiencias aisladas, casi siempre al margen del beneplácito de las gerencias, lo confirmaron. Sin embargo, las instituciones sanitarias no han sabido incorporarla de forma sensata y estable. Han hecho un giro “lampedusiano”: cambiar algunas cosas para que, en el fondo, todo siga igual, sometiendo a la telemedicina a un descrédito del que costará trabajo recuperarse.
Eso sí, las salas de espera han vuelto a llenarse.
Pregúntale a TRIP. AskTrip
Los más viejos aficionados a la medicina basada en la evidencia recordamos que esta invitación a una nueva manera de practicar la medicina se acompañaba de forma ineludible de una serie de propuestas de cambio. Entre ellas, la manera de acceder a la información científico-médica. Estaba claro que, si el médico asistencial debía utilizar la literatura médica en su trabajo cotidiano, esta debería estar accesible física, temporal y funcionalmente; es decir, se debería tener en el lugar que se necesita, en el momento que se precise y en un formato y validez que hiciera posible que el médico pudiera interpretarla.
Desde el principio se empezó a idear fuentes que facilitaran este trabajo, desde el naïf —visto con el paso del tiempo— carrito de la evidencia de Sackett, hasta los servicios de preguntas y respuestas*, o la figura del clinical informationist, pasando por buscadores federados tipo Tripdatabase o ACCESSSS.
*ATTRACT con el ya veterano y excepcional PREEVID, ejemplo nacional de este tipo de propuestas.
Tripdatabase es un buscador federado que se convirtió rápidamente en un referente en este tipo de servicios; incluso tuvo una efímera versión en español. Se ha mantenido durante todos estos años debido a su calidad y la actualización constante inducida por su inquieto creador Jon Brasey. Esta renovación nos ha traído un nuevo y lógico paso: Pregúntale a TRIP o AsKTrip.
AskTrip es el resultado de décadas de experiencia en esta parcela informacional (ATTRACT – Tripdtabase). Se puede considerar como una herramienta diseñada para responder a preguntas clínicas utilizando contenido de alta calidad basado en la evidencia. Impulsada por inteligencia artificial avanzada y un modelo masivo de lenguaje (LLM), ofrece respuestas rápidas y fiables, lo que ayuda a los médicos a tomar mejores decisiones con mayor rapidez.
Como en otros proyectos de IA conversacional, el usuario envía su pregunta clínica en lenguaje natural, tal y como se la haría a un colega. La IA procesa su pregunta: interpreta la consulta, identifica los componentes clínicos clave y busca en la base de datos de evidencias de alta calidad seleccionadas por Trip. Cuando se recuperan y sintetizan las pruebas, el sistema da prioridad a fuentes fiables, como guías de práctica clínica y revisiones sistemáticas.
Al igual que otros agentes de IA, esta herramienta tiene la potencialidad de permitir interaccionar en idiomas distintos del inglés; en TRIP están trabajando para ofrecer una verdadera versión multilingüe que permitiría, por ejemplo, interrogar y obtener la respuesta en español.
Como en otros recursos, tanto TRIP Database como AskTRIP tienen una versión gratuita, una versión PRO con muchas más posibilidades y una versión PRO institucional. Es una lástima que las bibliotecas virtuales autonómicas no contemplen una suscripción de este tipo. Cuesta mucho menos que otros recursos no tan útiles y, sobre todo, pone a la famosa IA al servicio de los médicos asistenciales, pero claro, no está patrocinada por ningún gurú, los «informáticos» de la comunidad no la conocen y sobre todo, el consejero de turno no puede dar una rueda de prensa apuntándose una iniciativa pionera, así que va a ser difícil que esto se logre.
Medicina demasiado impertinente
Periódicos del Reino Unido ‘en pie de guerra’: análisis de los medios de comunicación sobre la consulta no presencial de atención primaria en 2021
Periódicos del Reino Unido ‘en pie de guerra’: análisis de los medios de comunicación de la consultoría remota de práctica general en 2021; traducción del resumen de UK newspapers ‘on the warpath’: media analysis of general practice remote consulting in 2021. British Journal of General Practice 3 October 2022; BJGP.2022.0258. DOI: https://doi.org/10.3399/BJGP.2022.0258
Resumen
Antecedentes Tras un cambio a gran escala impulsado por la pandemia hacia la consulta remota (o no presencial) en la práctica de la medicina general del Reino Unido en 2020, 2021 vio un regreso parcial a las consultas en persona (o presenciales). Esto ocurrió en el contexto de presiones extremas sobre la carga de trabajo debido a los retrasos, la escasez de personal y el cambio de tareas.
Objetivo Estudiar las representaciones de los medios de comunicación de las consultas remotas en la práctica general del Reino Unido en un momento de estrés del sistema.
Diseño y configuración Análisis temático de artículos de periódicos nacionales sobre consultas remotas de médicos de cabecera en dos períodos de tiempo: del 13 al 26 de mayo de 2021, tras una carta del NHS England, y del 14 al 27 de octubre de 2021, siguiendo una directiva respaldada por el gobierno, ambas estipulando un regreso a la consultoría en persona.
Metodo Los artículos se identificaron a través de LexisNexis y se recuperaron de él. Se desarrolló iterativamente un sistema de codificación de temas y recursos narrativos para informar el análisis de datos.
Resultados En total, 25 artículos informaron sobre la carta y 75 sobre la directiva. La cobertura periodística de la consultoría remota fue sorprendentemente negativa. La prensa de tendencia derechista en particular elogió el regreso a las consultas en persona, describiendo la atención remota como la creación de barreras de acceso y comprometiendo la seguridad. Dos periódicos encabezaron campañas nacionales presionando al gobierno para que exigiera a los médicos de cabecera que ofrecieran consultas en persona. Los médicos de cabecera fueron citados como reacios a regresar a un servicio «en persona por defecto» (ya que presionaría aún más a un sistema que ya está cerca del punto de ruptura).
Conclusión Las consultas a distancia se han asociado en los medios de comunicación con malas prácticas. Algunos periódicos estaban liderando activamente la «guerra» contra la práctica general en lugar de limitarse a informar sobre ella. El diálogo proactivo entre los profesionales y los medios de comunicación podría ayudar a minimizar la polarización y mejorar las percepciones en torno a la práctica general.
En 2021, los periódicos del Reino Unido describieron negativamente las consultas remotas de médicos de cabecera; y algunos lideraron campañas impulsadas por la política para volver a la atención presencial. Una nueva investigación de la profesora Trish Greenhalgh y sus colegas examina la tendencia de los periódicos ‘en pie de guerra’ contra la consultoría remota. Después de la descripción inicial de una respuesta ‘heroica’ a la COVID-19 a principios de 2020, muchos periódicos del Reino Unido volvieron a presentar a los médicos de cabecera en términos negativos, describiendo las dificultades para acceder a la atención pero omitiendo el contexto clave de un sistema bajo una tensión sin precedentes.
Cimarrón
Adjetivo. Dicho de una planta: Que es la variedad silvestre de una especie con variedad cultivada.
Real Academia Española.
La necesidad de una vasta, exhaustiva, escalable, veraz e independiente fuente de información sobre medicamentos que sea a la vez rápida, fácil de utilizar es muy importante para los pacientes. También para los prescriptores, en los que además es imprescindible que este acceso este integrado en el medio donde desarrollan su trabajo: la historia clínica electrónica.
Sería un error no reconocer que la información sobre medicamentos en español vía Internet y sobre todo el acceso a esta, no ha mejorado en los últimos años. Atrás queda, como ya señalamos hace quince años, los descacharrantes momentos donde el paciente y el profesional que intentaba buscar información en español sobre un medicamento en internet, utilizando un buscador, solo encontraban páginas web de hospitales privados, editoriales, portales y laboratorios farmacéuticos y ninguna de la administración sanitaria. Esta información era en el mejor de los casos inexacta y en la peor, interesada.
Por fortuna esto ha cambiado, sin embargo, no lo suficiente y sobre todo no con la celeridad que sería necesaria
Pongamos un ejemplo: Si un paciente hace ahora una búsqueda de información con el nombre comercial de un medicamento en Google, el primer enlace que aparece nos lleva al buscador CIMA de la Agencia Española del Medicamentos (AEMPS).
¡Bien!
Que diferencia con la de hace 15 años,
El usuario se encuentra con información independiente y rigurosa.
¿Podemos cantar victoria?
Pues no, cuando el paciente pincha el enlace se encuentra con el prospecto, un documento htmleado de un PDF de 10 páginas, en Times New Roman tamaño 11. Tiene un menú lateral que podría ayudar pero esta más diseñado para resumir la estructura del documento, que para facilitar la búsqueda. Si alguien piensa que un profano, o incluso un profesional ocupado, va a estar navegando en ese documento PDF para encontrar la información que necesita está muy equivocado. Curiosamente, la página inicial de ese medicamento en el buscador CIMA, da mucha menos información, pero su diseño es más más claro y es visualmente más agradable. En ocasiones, no demasiadas, se acompaña de una foto del envase del medicamento y/o un video explicativo, lo que aumenta su utilidad. El buscador por el contrario es demasiado simple e ineficaz ya que para hacer búsquedas mas complejas que la simple por el nombre del medicamento hay que recurrir al denominado buscador para profesionales sanitarios (sic) poco intuitivos y farragoso.
EL buscador CIMA necesita sin duda mejoras y mejoras implementadas con rapidez.
Ya no basta con ser el primero , hay que merecérselo, y esto se logra no solo con un acuerdo con Google, sino dando información útil y adecuadamente presentada.
Es su obligación y el derecho de los pacientes españoles
Más información puede ser peor
Hay un efecto perjudicial derivado del acceso directo a sus datos por parte de los ciudadanos, particularmente aquellos con enfermedad crónica. Habría que asegurarse que los pacientes pueden discutir los resultados con los profesionales que les atienden
Can patients use test results effectively if they have direct access? BMJ 2015
Hace seis años la revista BMJ público un debate sobre la conveniencia del acceso directo por los pacientes, a su historial clínico y en particular a los resultados de pruebas diagnósticas. En este artículo, incluso los mas partidarios de facilitar este acceso, ponían de manifiesto uno de sus principales inconvenientes: la dificultad en la asimilación y contextualización de la información “en bruto” por parte de los pacientes. Se recomendaba que los profesionales y las organizaciones donde trabajaban, aseguraran la existencia de recursos comunicativos, p.e. correo electrónico, teléfono, mensajería instantánea o cita en consulta, que permitieran la discusión de los resultados entre pacientes y profesionales que les atienden. También, se recomendaba hacer un gran esfuerzo en formación sanitaria, para que el acceso de los pacientes a los informes, fuera realmente provechoso, y no un terreno, donde los malentendidos y los equívocos campearan por sus respetos
Como era de esperar, las carpetas sanitarias, carpetas de salud o portales electrónicos del paciente que se han desarrollado en nuestro país, se han puesto en marcha sin esas salvaguardas. Los mismos idiotas que impedían a los pacientes el acceso a sus datos clínicos, no hace tanto tiempo, son ahora los que se suben la moda de liberalizar sin control y sin medida estos datos. No se trata ya, que los pacientes tengan malentendidos por desconocer la jerga médica, tampoco de que sean capaces de entender lo que significa realmente que un resultado que está fuera de rango, se trata de que una información aislada del contexto clínico puede producir daño.
¿Daño, has dicho?
Si daño, menoscabo, perjuicio, quebranto, ¡llámalo como quieras!
No será para tanto.
Pues sí, y lo vas a entender con un ejemplo reciente

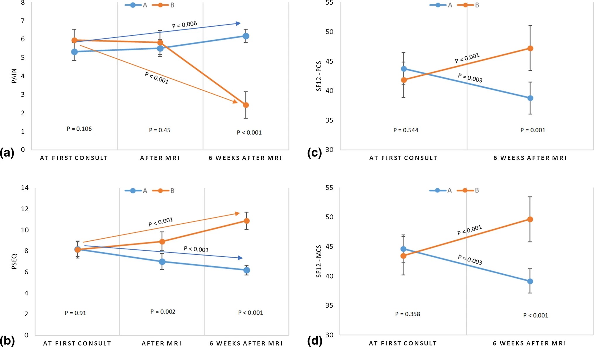
Rajasekaran y colaboradores se preguntaron si los informes habituales de las resonancias magnéticas (RMN) que se realizan en los pacientes con lumbalgia podrían tener un efecto nocebo. En estos informes se utilizan términos alarmantes que muchas veces describen cambios incidentales o relacionados con la edad. La lectura de estos informes sin la información contextual adecuada puede llevar a los pacientes, en palabras de los autores, a la catastrofización y a tratamientos más agresivos, al sentir los pacientes ( y tambien los profesionales) que se requiere alguna intervención, para que la columna se normalice.
Para responder a esta cuestión diseñaron un ensayo clínico aleatorizado (dentro de un estudio más amplio) para estudiar el efecto de los informes de rutina en la resonancia magnética sobre la percepción del paciente y el resultado del tratamiento. El estudio recluto a 44 pacientes con dolor lumbar crónico sin «signos de alerta» o indicación quirúrgica que se asignaron al azar (los métodos de aleatorización y asignación no aparecen correctamente documentados en el artículo) en dos grupos, uno a los que se les decía en el informe que su RMN era «totalmente normal» y los resultados eran fortuitos o relativos a la edad, y otro grupo en el que les mostraba un informe rutinario que incluía términos tales como como degeneración, desgarros, rupturas, compresión neural, etc. u otros resultados fortuitos típicos. A todos los pacientes después darles la información, se les prescribió 6 semanas de tratamiento conservador (tampoco se describe en el artículo).
Se evaluaron los resultados con las puntuaciones antes y después de tres cuestionarios, la escala visual analógica del dolor (VAS), el Pain Self Efficacy Questionnaire-2 (PSEQ-2) que indica la percepción de la confianza en la propia capacidad de afrontar el dolor (autoeficacia o self-efficacy) y el cuestionario de salud SF-12 (12-Item Short Form Health Survey) para medir el grado de bienestar y capacidad funcional del paciente.

Los resultados se pueden ver en los gráficos, pero en resumen se puede decir que los pacientes con lumbalgia que recibieron los resultados de su resonancia magnética (RMN), sin interpretación por parte de un médico, tuvieron más dolor, menos confianza en su propia capacidad (autoeficacia) y peor capacidad funcional, continuando estos resultados incluso después de 6 semanas de tratamiento conservador. Por otro lado, los pacientes los que les dijeron que su RMN era «normal, con hallazgos relacionados con la edad» respondió mejor al tratamiento, tenía menos dolor, una mayor autoeficacia y un mayor bienestar.
Parece, por tanto, que la información que se da a los pacientes sin contexto puede ser perjudicial interferir en el tratamiento y modificar las decisiones de pacientes y médicos (eso se explica en el estudio ampliado que el articulo también describe) a la hora de elegir tratamientos más agresivos.
Pues ahora vas y lo cascas tuiteas 👇👇
Comparación de las Historias Clínicas Electrónicas en España desde el punto de vista clínico
Que en España se den tantos modelos de historia clínica electrónica como comunidades autónomas puede considerarse un problema importante o una consecuencia más o menos amable de la «autonomía» de esas comunidades. Problema o consecuencia, el caso es que están ahí y que de esta diversidad se pueden sacar efectos favorables, aunque solo sea por aprender de la experiencia e innovación que cada desarrollo HCE ha producido en su ámbito de aplicación.
Por desgracia, no se ha considerado necesario hacer mucha publicidad de los desarrollos de esta pieza clave de los sistemas de información sanitaria y es dificil de encontrar documentos que ilustren cómo son y como se han hecho las diferentes HCE que se han desarrollado en nuestro país.
Con este motivo Fran Sanchez Laguna y el autor de este blog han realizado un sencilla encuesta para usuarios de historia clínica electrónica sanitaria que arroje lago de información sobre este interesante tema.
Puedes ayudar cumplimentándola – aquí – hasta el 31 de julio
Comparación de las Historias Clínicas Electrónicas (HCE) desde el punto de vista clínico
Enlace corte por si quieres difundirla lnkd.in/g2qztQQ
Muchas Gracias por tu colaboración.
La eterna banda del capitan PDF
Como contaba Alberto Knapp, cada vez que surge una nueva tecnología, esta intenta imitar en su funcionamiento y proceso a la tecnología de la que es heredera. Con el tiempo esta limitación desaparece y la nueva tecnología alcanza funcionalidades que nos es que hagan mejor y más rápido las tareas de la anterior, sino que realizan nuevas funciones, de una nueva manera. Es la razón por la que los primeros automóviles dejaron de parecerse a los coches de caballos, el cine dejó de poner una cámara delante de una caja de teatro o existió el Telefon Hírmondó.
Al principio se piensa y se usa esta nueva tecnología en términos de la tecnología anterior.
Como ya comentamos desde hace años la excesiva utilización del formato PDF para la transmisión de información ejemplo de este uso naif de las nuevas tecnologías. Para lo que provienen de la cultura impresa este formato tiene atractivos indudables a saber: es ideal para la impresión de documentos, toda la información textual, gráfica y de otro tipo viene empaquetada y maquetada de una forma atractiva que rememora el documento en papel y consigue eso del WYSIWYG que en los primeros tiempos de la ofimática e internet era tan difícil de conseguir. Solo cuando el PDF se imprime es útil, es ese momento cuando brilla, ya que al fin y al cabo es una representación de los originales, a los que tanto estamos acostumbrados.
El PDF es ideal para una cosa y sólo una cosa: la impresión de documentos.
Pera ante esta efímera ventaja la utilización del PDF tiene muchos inconvenientes que se resumen muy bien en esta entrada de la página de Nielsen PDF: Still Unfit for Human Consumption, 20 Years Later
La aparente ventaja se vuelve tarde o temprano en contra nuestra, si consideramos Internet como un almacén de PDFs nunca podremos entenderla, ni aprovechar los sucesivos avances que se han producido. Si vehiculizamos la información en documentos PDF, si nuestras ansias de información se ven satisfechas con ese remedo de fotocopia digital que es el PDF, nunca podremos visualizar un mundo donde los datos fluyen en un espacio de información navegable, no se podrán alimentar las aplicaciones híbridas. Tampoco se podrá transformar la información, no conseguirá ser interactiva, no se podrá utilizar desde mil sitios y de mis maneras con diferentes objetivos y sobre todo de manera eficaz y barata.
Después de tantos años nunca pensamos que la administración española sanitaria siguiera anclada en esta época “preindustrial” de la autopista de la información. Pero si, siguen, así es como se puede ver en la página que el Ministerio de Sanidad dedica a la pandemia por COVID -19, plagada de PDFs para que los profesionales sanitarios estén informados. Es un campo de PDFs con el añadido moderno de una mecánica locutada del contenido.

Otro ejemplo especialmente sangrante para nosotros es lo que entienden los directivos sanitario extremeños por telemedicina: enviar los PDFs de los partes de incapacidad laboral por correo electrónico










