Etiquetado: efectividad
ampliando el espacio del efecto placebo
Moerman DE, Harrington A. Making space for the placebo effect in pain medicine. Seminars in Pain Medicine. 2005; 3 (1): 2-6.

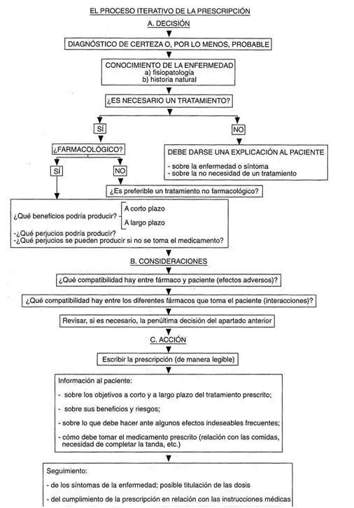
Figura 1. La figura muestra el resultado en el grupo tratamiento de 117 ensayos realizados entre 1974 y 1998 empleando anti H-2 para el tratamiento de la úlcera péptica (UP). La Cimetidina (círculos) se empezó a estudiar en 1975, mientras que la ranitidina (cuadrados) se comenzó años más tarde, en 1981. En general, no se encontraron diferencias significativas en estos estudios sobre la efectividad de estos dos fármacos. Sin embargo, cuando se traza con la fecha de publicación del estudio, es evidente que la eficacia de cimetidina disminuyó después de la introducción de la «nueva y mejor» ranitidina. La cimetidina no había cambiado, ni tampoco la biología de la UP. Sin embargo, el conocimiento de los médicos si lo hizo.
Si cogemos los datos de los ensayos clínicos controlados de tratamiento de las ulceras pepticas con un fármacos antisecretor como la cimetidina, y disponemos las tasas de curación endoscópica en el grupos tratado en una gráfica por año de publicación del estudio, se ve como esta tasa disminuye con los años y que lo hace especialmente cuando un nuevo medicamento antisecretor -ranitidina- se introdujo en el mercado (a bombo y platillos por los vendedores, y por los intereses correspondientes de la comunidad médica).
Es decir, según la gráfica, parece que los medicamentos más viejos se vuelven menos eficaces.
La razón de estos resultados podría ser (en esa época preinternet) que los médicos tiene menos entusiasmo hacia ellos al considérelos como tratamientos «viejos», y esto podría influir en que disminuyera su eficacia.
* traducción= La figura muestra el resultado en el grupo tratamiento de 117 ensayos realizados entre 1974 y 1998 empleando anti H-2 para el tratamiento de la úlcera péptica (UP). La Cimetidina (círculos) se empezó a estudiar en 1975, mientras que la ranitidina (cuadrados) se comenzó años más tarde, en 1981. En general, no se encontraron diferencias significativas en estos estudios sobre la efectividad de estos dos fármacos. Sin embargo, cuando se traza con la fecha de publicación del estudio, es evidente que la eficacia de cimetidina disminuyó después de la introducción de la «nueva y mejor» ranitidina. La cimetidina no había cambiado, ni tampoco la biología de la UP. Sin embargo, el conocimiento de los médicos si lo hizo.
la tentación totalitaria
Tal como están las cosas en España los médicos tenemos libertad de prescripción. Beato Espejo especialista en derecho administrativo nos recuerda que «Esta libertad de prescripción es una auténtica manifestación de la libertad de ejercicio profesional consagrada en el artículo 36 de la Constitución, no puede ser restringida en modo alguno ni por una resolución o circular, ni por un reglamento de la Administración -y así lo ha proclamado tanto el TC como el TS. Sólo la Ley puede restringir esa libertad fundamental».
Que esta libertad se puede emplear, y se emplea con demasiada frecuencia, de forma maléfica está claro, que la autorización y financiación de los medicamentos debería revisarse profundamente, todavía está más claro. Que hay medicamentos que no aportan nada nuevo al arsenal terapéutico y que desgraciadamente son muy recetados, salta a la vista. En este blog se ha denunciado en muchas ocasiones este tipo de práctica perversa. Como escribio Manolo Galvez en un lúcido editorial No se puede estar de acuerdo en que los recursos del sistema sanitario publico se malgasten. Nadie puede propugnar la libertad de prescripción como un valor absoluto que deba escapar a cualquier control.
Ahora bien los hechos comentados anteriormente no justifican, en ningún caso, realizar desde el exterior medidas coercitivas que penalicen la prescripción de determinados medicamentos o se favorezca la prescripción de unos sobre otros. Incluso medidas menos enérgicas como la de facilitar determinadas actitudes terapéuticas (ayudar la prescripción por principio activo, o categorizar determinados tipos de medicamentos, verbigracia genéricos) son de dudosa lealtad a la esencia de libertad que debe inspirar el acto médico de la prescripción.
Cualquier sistema que dificulte de forma importante esta libertad es un sistema ilegal. Si además se utiliza la informática con estos fines se convierte en un acto marrullero y propio de sinvergüenzas. Ítem más, si la “autoridad” que lo realiza es un médico, su comportamiento atenta contra todas las reglas éticas de la profesión y del compañerismo, y si el que lo realiza un farmacéutico, directamente es un…….. gilipollas.
Si estas medidas se disfrazan de sistemas informáticos para mejorar la prescripción farmacológica, incluidos o no, en la historia clínica electrónica, el problema se empeora. Se aprovechan del atractivo y eficacia de las nuevas tecnologías para conseguir unos propósitos más que cuestionables y emparejan el destino y la imagen de la informática sanitaria a la de estos deleznables objetivos.
El SESCAM según se informaba hace días en DM, pretende restringir la prescripción de distintos fármacos, de tal forma que “en adelante no podrán prescribirse a través de receta electrónica las formas orales y tópicas de desketoprofeno ni la desloratadina. Además, las recetas de atorvastatina y de clopidogrel deberán realizarse por principio activo o por genérico.” Esta noticia ha sido rápidamente contestada por el SESCAM, y se pueden leer los argumentos en EL Global o en el propio DM. Escribimos contestada y no desmentida, porque aunque así se titula, no vemos tal desmentido por ninguna parte.
Frases como esta:
¿Supone en la práctica un veto a la prescripción de la marca? Según Martín, no. «Cualquier médico que quiera prescribir la marca no lo tendrá fácil, pero evidentemente lo podrá hacer. No hemos prohibido a ningún médico que prescriba la marca. Simplemente, a través del sistema de prescripción informatizada, como cualquier otra medida de gestión, lo hemos limitado», explica.
Esta frase incrementa la fama de tiranuelos de muchos de los dirigentes del SESCAM y hace que nos temamos que por las tierras de Don Quijote, como por otras zonas de la península, campea el totalitarismo sanitario disfrazado bajo altisonantes conceptos de mejora de eficiencia o uso racional.
Harían mejor los politicos manchegos en fiarse de sus profesionales y aprender que la presión asistencial es un indicador de calidad en la prescripción como se dice en su propios seminarios y se escribe en los libros que editan (por cierto en colaboración con la industria farmacéutica) y ver que los determinantes del consumo de fármacos y de su prescripción “hay que buscarlos en factores mucho más dependientes de la gestión y utilización de los servicios”.
